Carro próprio ou táxi?
O trânsito nas grandes cidades está tão infernal, que muitos se perguntam: e se eu vendesse o meu carro e andasse de lá para cá de táxi?
Do ponto de vista qualitativo, há vantagens e desvantagens nessa troca. Por exemplo, o carro próprio proporciona maior flexibilidade: ele está sempre ali, com chuva ou com sol, no fim-de-semana e nos horários de pico, quando não é assim tão fácil encontrar um táxi disponível. Por outro lado, o táxi é mais confortável: você anda de motorista particular, e pode dedicar seu tempo para coisas mais importantes, como por exemplo, jogar video-game no trajeto, hehe. Além disso, algumas cidades, como São Paulo, dispõem de corredores específicos para ônibus e táxis, o que pode significar um belo ganho de tempo no deslocamento. O táxi também tem a vantagem de você não precisar se preocupar com estacionamento, o que poupa dores de cabeça e alguns reais.
Falando em reais, e quanto aos aspectos quantitativos da troca? Será que, financeiramente, vale a pena vender o carro e andar de táxi? A coisa não é tão simples, pois são muitas as variáveis envolvidas. Vejamos.
É preciso comparar os gastos do carro com os gastos do táxi. Para isso, é necessário definir as variáveis do problema:
- A distância percorrida por ano. Chamemos esta distância de “K”, medida em quilômetros.
- O consumo de combustível, que vamos chamar de “C”, em quilômetros/litro.
- O preço do combustível, que vamos chamar de “P”, em reais.
- O valor do carro, que vamos chamar de “V”, em reais.
- O valor do IPVA, que vamos assumir como uma percentagem “I” do valor do carro.
- O valor do seguro, que vamos assumir como uma percentagem “S” do valor do carro.
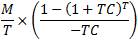
- O valor da manutenção do carro, que vamos assumir como sendo diretamente proporcional à idade do carro. No meu post sobre a hora certa para trocar de carro (Trocando o carro sem ficar à pé), eu considero uma despesa de manutenção de R$ 500 iniciais, crescendo 25% ao ano, em média, para um Gol 1.000. Então, as variáveis são: custo de manutenção inicial (“M”) e taxa de crescimento anual do custo da manutenção (“TC”), e o tempo “T”, em anos, que você ainda pretende ficar com o carro.
- A depreciação do carro, a uma taxa “D” anual, em percentagem do valor do carro.
- O custo financeiro anual do capital empatado no carro, “J”, em percentagem do valor do carro.
O valor da tarifa do táxi se divide em (vamos ignorar o valor da hora parada):
- Bandeirada (chamaremos de “B”, em reais)
- Tarifa por quilômetro rodado (chamaremos de “Q1” para bandeira 1 e “Q2” para bandeira 2, em reais por quilômetro)
- Proporção do uso do táxi em bandeira 1 (durante o dia), que chamaremos de “PB”
- Número de corridas de táxi por dia, que chamaremos de “N”
Não se assuste com essa sopa de letrinhas. O que importa é descobrir o quanto se gasta de carro e o quanto se gastaria de táxi nas mesmas circunstâncias, e comparar os dois valores, tudo em uma mesma base. Por exemplo, anual. O truque para fazer a conta certa é considerar corretamente todas as despesas do carro, (não só combustível, manutenção e impostos), tudo em bases anuais. E quais são essas despesas?
Despesas com o carro (anual):
– Combustível: é dado pela distância dividida pelo consumo e multiplicada pelo preço do combustível. Assim, temos: (K/C)*P
– IPVA e seguro: (o último termo da fórmula abaixo serve para incorporar a depreciação do carro no cálculo)
– Manutenção (aqui estamos calculando a média anual de gastos com manutenção ao longo de todo o tempo em que você fica com o carro):
– Depreciação anual: V*D
– Custo financeiro anual:
Despesas com o táxi:
– Bandeirada: B*N
– Corrida: K*[Q1*PB + Q2*(1-PB)]
Pronto! Agora leve tudo ao forno por 20 minutos, e depois é só servir…
Ok, ok, vamos dar um exemplo numérico. Digamos que:
- Você percorra, em média, 30 km por dia. Isso dá 10.950 km por ano (K = 10.950)
- O seu carro consuma, em média, 8 km/l [C = 8]
- O seu carro prefere gasolina, que custa R$ 2,50/litro (P = 2,50)
- O seu carro vale R$ 30.000 (V = 30.000)
- A alíquota do IPVA é igual a 4% no seu estado (I = 4%)
- O seguro do carro vale 2% do valor do carro (S = 2%)
- O valor inicial da manutenção do carro é de R$ 1.000 (M = 1.000), e essa despesa crescerá 20% ao ano (TC = 20%)
- O carro se deprecia (perde valor) a uma taxa de 10% ao ano (D = 10%)
- A taxa de juros é de 10% ao ano (J = 10%)
- Você pretende trocar o carro dentro de 4 anos (T = 4)
- Digamos que estejamos em São Paulo. Portanto, as tarifas do táxi são as seguintes (táxi comum):
- Bandeirada: B = R$ 4,10
- Bandeira 1: Q1 = R$ 2,50/km
- Bandeira 2: Q2 = R$ 3,25/k
- Você deve usar o táxi 60% do seu percurso em bandeira 1 (PB = 60%)
- Você acha que vai pegar, em média, 3 táxis por dia, o que dá 1.095 corridas por ano (N = 1.095)
Agora, vamos aos cálculos!
Despesas com o carro (anual):
– Combustível: (K/C)*P = (10.950/8)*2,50 = R$ 3.421,88
– IPVA e seguro:
Essa continha resulta em R$ 1.530,00 de gastos anuais em IPVA e seguro.
– Manutenção:
O que resulta em R$ 1.342,00 de despesas de manutenção, em média, por ano.
– Depreciação anual: V*D = R$ 30.000 * 10% = R$ 3.000 por ano.
– Custo financeiro:
o que dá um total de R$ 3.480,75 por ano de custo financeiro.
Somando tudo, temos um gasto anual com carro de R$ 12.774,63. Vejamos agora as despesas com táxi:
– Bandeirada: B*N = R$ 4,10 * 1.095 = R$ 4.489,50
– Corrida: K*[Q1*PB + Q2*(1-PB)] = 10.950*[2,50*60% + 3,25*(1-60%)] = R$ 30.660,00.
Custo total do táxi: R$ 35.149,50. Portanto, quase o triplo do custo do carro. Neste caso, obviamente não vale a pena. Mas deve haver um ponto em que o táxi vale mais a pena. Por exemplo, se a distância percorrida for bem menor. Se a distância fosse de 3.000 km anuais somente de dia, com duas corridas por dia, o táxi custaria:
– Bandeirada: R$ 4,10 * 730 = R$ 2.993
– Corrida: 3.000*2,50*100% = R$ 7.500
O custo total do táxi seria de R$ 10.493. Já o custo do carro baixaria pouco. Somente a parcela do combustível seria mais baixa: (3.000/8)*2,50 = R$ 937,50. O custo total do carro seria então de R$ 10.290,25, quase igual ao custo do táxi. Aí, já começaria a valer a pena trocar um pelo outro.
Claro, a decisão final passa também pelos aspectos qualitativos mencionados logo no início deste post. Uma diferença para mais ou para menos entre os gastos deve ser ponderada pela vontade, maior ou menor, de ter um carro próprio. Outra alternativa a ser avaliada é a do aluguel de um carro, que analisaremos em um futuro post.
Crédito do thumbnail: Free Digital Photos by Phil_Bird.






Hoje perdi um show no Credicard Hall porque fiquei 40 minutos tentando chamar um taxi, e 1. ninguem atendia nos 2 pontos perto de carro e 2. os que atendiam repassam pra outro que por sua vez nao atendia… ah mas e agendar? Sim eu liguei a tarde pra agendar e me mandaram ligar quando fosse a hora…
Mereço…to doida pra comprar meu carro
Adorei! Excelente. Me faz pensar que ter um carro no valor do meu é mesmo uma loucura.
A idéia da planilha é genial. A do seu site também.
Faltou falar sobre outros gastos imprevistos que temos com carros:
– Batidas
– Multas
– Fanelinhas e Esmolas de Sinal
Que legal este post! Seria legal se você criasse uma planilha com estas contas para podermos lancar os valores e obter o resultado final!
Leoh, obrigado pela sugestão. Pretendo colocar esta e outras planilhas quando puder montar um site próprio. Mas isto é um outro projeto…
Abraço
Dr. Money,
Fiz essa conta e optamos por ter apenas um carro. O segundo carro da família é um táxi até porque o uso dele é eventual e o Dr. Historiador/jornalista/escritor/santista trabalha quase do lado de casa. Como nesta casa o carro da família não é um Gol 1.000, a conta em manter dois carros fica mais salgada, mesmo que o segundo seja um Gol 1.000. Por enquanto, estamos felizes e quando a coisa aperta demais (tipo quando temos de encostar o carro para manutenção), alugamos um carro por um dia, que sai mais barato do que resolver tudo com táxi. Mas muito legal seu post.
Olá Dr. Money,
Bom artigo. Ele explica em grande medida porque todos queremos ter carro: táxi é muito caro (para a maioria das pessoas de uma cidade grande, me parece). Por outro lado, o transporte coletivo seria outra alternativa … Bem, seria, porque no Brasil, transporte coletivo todos sabemos como é …